maweric Opublikowano 29 Grudnia 2017 Zgłoś Udostępnij Opublikowano 29 Grudnia 2017 Może ktoś z Was ma doświadczenie z tymi akumulatorami i podzieli się widzą i doświadczeniem.Z góry serdeczne dzięki : 2 Cytuj Odnośnik do komentarza Udostępnij na innych stronach Więcej opcji udostępniania...
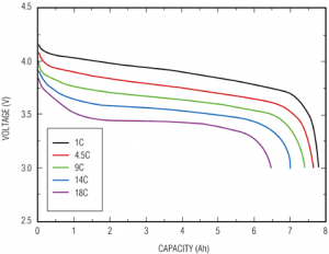
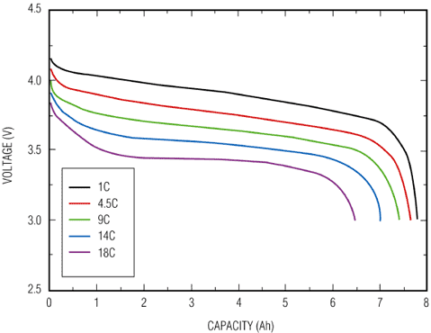
0 highvoltage Opublikowano 25 Stycznia 2024 Zgłoś Udostępnij Opublikowano 25 Stycznia 2024 (edytowane) Od prądu bardzo mocno zależy przy akumulatorach kwasowych, a przy zasadowych czyli litówkach ta krzywa jest już dość liniowa (mówi o tym współczynnik Puekerta równy około 1):https://pl.wikipedia.org/wiki/Prawo_PuekertaPrzyjmuje się, że pojemność jest podawana dla współczynika C20, czyli rozładowanie do jakichś konkretnych wartności (np. napięcie 10,5V dla kwasu) przez 20 godzin - dla 100Ah/20 będzie to prąd 5A i tak po latach rozładowując prądem 5A można określić % degeneracji akumulatora o nominalnej pojemności 100Ah.Ja pisze cały czas o Lifepo , jest różnica pomiędzy prądem 3C a prądem 0.1C i jest zależna od jakości ogniw , pojemność będzie inna. Tutaj znalazłem charakterystykę co prawda dla pojedynczych ogniw i dosyć dużych prądów rozladowania. Edytowane 25 Stycznia 2024 przez highvoltage Cytuj Odnośnik do komentarza Udostępnij na innych stronach Więcej opcji udostępniania...
0 pajczi Opublikowano 25 Stycznia 2024 Zgłoś Udostępnij Opublikowano 25 Stycznia 2024 (edytowane) Dlatego napisałem, że współczynnik będzie około 1, a nie równe 1 - tutaj rozrzut jaki podajesz w pojemności jest mniejszy niż 20%, a prądy to są wielokrotności pojemności to są dość ekstremalne wartości 18C dla 100Ah to będzie prąd 1,8 kA ! to wiadomo że akumulatr szybciej "klęknie", bo zobacz jakie ciepło się wydzieli przy takim prądzie (mimo że rezystancja litówek jest o wiele mniejsza niż kwasiaków i tak szybko nie rośnie wraz z rozładowaniem - dlatego wprowadziłem pojęcie prawa litu https://jerkbait.pl/topic/109061-miernik-do-akumulatora/?p=2833123). Pojemność należy mierzyć tak jak napisałem dla I=0,05C (C20), wiadomo że przy trakcyjnych akumulatorach w wózkach widłowych podaje się na ogół parametr C5 (I=0,2C), ale ile może wziąć silnik w łodzi wędkarskiej - moje pomiary dla Haibo M150 to 67A w szczycie, a to dla 100Ah to 0,67C. Edytowane 25 Stycznia 2024 przez pajczi Cytuj Odnośnik do komentarza Udostępnij na innych stronach Więcej opcji udostępniania...
0 highvoltage Opublikowano 25 Stycznia 2024 Zgłoś Udostępnij Opublikowano 25 Stycznia 2024 Tak dlatego napisałem że to jakieś ogniwo pewnie modelarskie. Inna sprawa że ogniwa w tych składanych akumulatorów nie są w stanie dać takich prądów. Mówię to z praktyki że można sobie pobierać 1A i będzie pełna pojemność a przy obciążeniu 100A okaże się jakiej jakości są. Poza silnikiem na łodzi też są inne odbiorniki ale to już kwestia indywidualna. Ja składam ten akumulator z Bms ponad 300A prądu chwilowego z przeznaczeniem do rozruchu silnika spalinowego. Cytuj Odnośnik do komentarza Udostępnij na innych stronach Więcej opcji udostępniania...
0 psulek Opublikowano 25 Stycznia 2024 Zgłoś Udostępnij Opublikowano 25 Stycznia 2024 (edytowane) Pojemność LFP podaje się standardowo dla prądów 0,5C. Nie ma dużej rozbieżności w pojemności dla prądów 0,1 i 0,5C. @highvoltage silnik na wtrysku? Wysłane z mojego motorola edge 40 pro przy użyciu Tapatalka Edytowane 25 Stycznia 2024 przez psulek Cytuj Odnośnik do komentarza Udostępnij na innych stronach Więcej opcji udostępniania...
0 siarq Opublikowano 25 Stycznia 2024 Zgłoś Udostępnij Opublikowano 25 Stycznia 2024 lfp4 maksymalnie ktore znam, to hedway czerwone 8ah/10C i one sa w stanie taki prad osiagnac . Hedway 3c lub inne cylindry 3c (lfp4) przy maksymalnych obciazeniach jak testowalem oddawaly okolo 70%-75% pojemnosci, przy 1c i mniej - pelna pojemnosc . Prymaztycznych ogniw 3c jest duzo mniej niz 1c. sa drozsze i rzadko spotykane "masowo". Wysokopradowe wszelkiej masci ogniwa maja zastowoania w ev , elektronarzedziach itp., gdzie nie koniecznie z duzej pojemnosci mozna oddac duzy prad. Poza tym 3c to jest maks ,w kartach sa okreslane warunki dla ciaglego pradu , pulsu itd Cytuj Odnośnik do komentarza Udostępnij na innych stronach Więcej opcji udostępniania...
0 highvoltage Opublikowano 25 Stycznia 2024 Zgłoś Udostępnij Opublikowano 25 Stycznia 2024 Pojemność LFP podaje się standardowo dla prądów 0,5C. Nie ma dużej rozbieżności w pojemności dla prądów 0,1 i 0,5C. @highvoltage silnik na wtrysku? Wysłane z mojego motorola edge 40 pro przy użyciu Tapatalka25 4t gaźnik , katalogowo z tego co pamiętam 360A , ale myślę że spokojnie da radę w mróz nie będę pływak więc te prądy są niższe. A jak nie to zawsze opcja szarpanki zostaje. Cytuj Odnośnik do komentarza Udostępnij na innych stronach Więcej opcji udostępniania...
0 karkoszek Opublikowano 25 Stycznia 2024 Zgłoś Udostępnij Opublikowano 25 Stycznia 2024 Rebelcell oferuje akumulator do rozruchu, waży 2 kg, prąd max 470A - https://www.rebel-cell.com/product/start-battery/Cena w Polsce to jakieś 1500 zł.Po co wymyślać coś na nowo? Cytuj Odnośnik do komentarza Udostępnij na innych stronach Więcej opcji udostępniania...
0 siarq Opublikowano 25 Stycznia 2024 Zgłoś Udostępnij Opublikowano 25 Stycznia 2024 Trochę gruba impreza z tą ceną jak na sam starter Cytuj Odnośnik do komentarza Udostępnij na innych stronach Więcej opcji udostępniania...
0 sero1975 Opublikowano 25 Stycznia 2024 Zgłoś Udostępnij Opublikowano 25 Stycznia 2024 Ja startuje Suzuki 30 km na lifep04 100ah od siaq bezproblemowo . Cytuj Odnośnik do komentarza Udostępnij na innych stronach Więcej opcji udostępniania...
0 highvoltage Opublikowano 25 Stycznia 2024 Zgłoś Udostępnij Opublikowano 25 Stycznia 2024 Ja startuje Suzuki 30 km na lifep04 100ah od siaq bezproblemowo .Zapewne z BMS na 60/80A prądu ciągłego i daje radę Cytuj Odnośnik do komentarza Udostępnij na innych stronach Więcej opcji udostępniania...
0 psulek Opublikowano 26 Stycznia 2024 Zgłoś Udostępnij Opublikowano 26 Stycznia 2024 (edytowane) 25 4t gaźnik , katalogowo z tego co pamiętam 360A , ale myślę że spokojnie da radę w mróz nie będę pływak więc te prądy są niższe. A jak nie to zawsze opcja szarpanki zostaje.Ok, bo ostatnio trafiłem na informację, gdzie jeden producent przestrzega, że w przypadku zadziałania BMS I odcięcia Aku silnik na wtrysku zgaśnie . Chociaż to trochę dziwne, bo przecież powinno wystarczyć prądu z altka. A jak mierzysz pojemność? Wysłane z mojego motorola edge 40 pro przy użyciu Tapatalka Edytowane 26 Stycznia 2024 przez psulek Cytuj Odnośnik do komentarza Udostępnij na innych stronach Więcej opcji udostępniania...
0 highvoltage Opublikowano 26 Stycznia 2024 Zgłoś Udostępnij Opublikowano 26 Stycznia 2024 Przetwornica 12/230 , watomierz i obciążenie grzejnik elektryczny lub cokolwiek innego Cytuj Odnośnik do komentarza Udostępnij na innych stronach Więcej opcji udostępniania...
0 Carlos* Opublikowano 26 Stycznia 2024 Zgłoś Udostępnij Opublikowano 26 Stycznia 2024 Tak, ale watomierz policzy ile watów wyszło z przetwornicy do odbiornika, ale nie obliczy strat wynikających z pracy samej przetwornicy trzeba o tym pamiętać. Żadna przetwornica nie ma 100% sprawności. Cytuj Odnośnik do komentarza Udostępnij na innych stronach Więcej opcji udostępniania...
0 highvoltage Opublikowano 26 Stycznia 2024 Zgłoś Udostępnij Opublikowano 26 Stycznia 2024 (edytowane) Tak, ale watomierz policzy ile watów wyszło z przetwornicy do odbiornika, ale nie obliczy strat wynikających z pracy samej przetwornicy trzeba o tym pamiętać. Żadna przetwornica nie ma 100% sprawności.Oczywista oczywistość, za to obciążenie czysto rezystancyjne. Te <5Ah nie ma dla mnie znaczenia przy takiej pojemności Edytowane 26 Stycznia 2024 przez highvoltage Cytuj Odnośnik do komentarza Udostępnij na innych stronach Więcej opcji udostępniania...
0 Carlos* Opublikowano 27 Stycznia 2024 Zgłoś Udostępnij Opublikowano 27 Stycznia 2024 Uważam, że to będzie sporo więcej niż te 5 Ah, ale to akurat nie ma znaczenia, trzeba znać dokładnie sprawność danej przetwornicy. Cytuj Odnośnik do komentarza Udostępnij na innych stronach Więcej opcji udostępniania...
0 highvoltage Opublikowano 28 Stycznia 2024 Zgłoś Udostępnij Opublikowano 28 Stycznia 2024 OK, to jak sprawdzisz, to daj znać.132,15Ah wyszlo według BMS więc bardzo dobrze. Porównam jeszcze na watomierzu Cytuj Odnośnik do komentarza Udostępnij na innych stronach Więcej opcji udostępniania...
0 psulek Opublikowano 28 Stycznia 2024 Zgłoś Udostępnij Opublikowano 28 Stycznia 2024 (edytowane) To naprawdę super. Najlepsze ogniwa mają ~160Wh/kg. Tobie udało się nabyć ogniwa 176Wh/kg. Wysłane z mojego motorola edge 40 pro przy użyciu Tapatalka Edytowane 28 Stycznia 2024 przez psulek Cytuj Odnośnik do komentarza Udostępnij na innych stronach Więcej opcji udostępniania...
0 highvoltage Opublikowano 28 Stycznia 2024 Zgłoś Udostępnij Opublikowano 28 Stycznia 2024 To naprawdę super. Najlepsze ogniwa mają ~160Wh/kg. Tobie udało się nabyć ogniwa 176Wh/kg. Wysłane z mojego motorola edge 40 pro przy użyciu TapatalkaTutaj żeby mieć taki dokładniejszy pomiar to raz że trzeba by było zważyć je jakąś dokładna waga . I pojemność zmierzyć watomierzem DC podłączanym bezpośrednio za akumulatorem. Co nie zmienia faktu że całość wyszła w bardzo dobrej cenie. Ogniwa udało się zakupić na Black Friday gdzie przecena była z 1300 na 960. Do tego obudowa rozbieralna 180zl i bms 130A z bluetooth za 200zl. Więc całość 1350zl za 135Ah. Zmieniając bms na taki 60A , obudowę na klejona byłoby jeszcze mniej. Także gra warta świeczki jak ktoś ma jaki takie pojęcie. W razie pytań służę pomocą 1 Cytuj Odnośnik do komentarza Udostępnij na innych stronach Więcej opcji udostępniania...
0 psulek Opublikowano 28 Stycznia 2024 Zgłoś Udostępnij Opublikowano 28 Stycznia 2024 (edytowane) Nie mówię że nie, mam ogniwa z alika, również z Litokala, ale te z LK nigdy nie miały pełnej deklarowanej pojemności. 10% mniej to spokojnie. Można z tym żyć, jak się założy margines blędu a cena jest dobra. Moim zdaniem u Ciebie to wynik błędu z jakim zużycie zlicza BMS lub jakiejś innej kwestii. Chyba, że wagę masz arcyniedokładną Wysłane z mojego motorola edge 40 pro przy użyciu Tapatalka Edytowane 28 Stycznia 2024 przez psulek Cytuj Odnośnik do komentarza Udostępnij na innych stronach Więcej opcji udostępniania...
0 highvoltage Opublikowano 28 Stycznia 2024 Zgłoś Udostępnij Opublikowano 28 Stycznia 2024 A skąd wiesz że masz 10% mniej czym to mierzyłes ? Cytuj Odnośnik do komentarza Udostępnij na innych stronach Więcej opcji udostępniania...
0 karbusd Opublikowano 15 Lutego 2024 Zgłoś Udostępnij Opublikowano 15 Lutego 2024 Naczytałem się dużo, nikt jednak nie podaje żywotności w latach tych akumulatorów. Jest napisane, że jakieś 3% pojemności tracą rocznie, ale ile lat prognozuje się ich działanie? Cytuj Odnośnik do komentarza Udostępnij na innych stronach Więcej opcji udostępniania...
0 siarq Opublikowano 15 Lutego 2024 Zgłoś Udostępnij Opublikowano 15 Lutego 2024 10 Cytuj Odnośnik do komentarza Udostępnij na innych stronach Więcej opcji udostępniania...
0 dante Opublikowano 15 Lutego 2024 Zgłoś Udostępnij Opublikowano 15 Lutego 2024 Pytanie odnośnie ustawień ładowania. Akumulator napięcie max 14,6V, ladowarka Victron i standardowe ustawienia dla lion. Zauważyłem, że ladowanie zakończyło się przy 14,2V. Czy mogę w ustawieniach ładowarki zmienić napięcie absorbcji na 14,6V ? Rozumiem, że przy ustawieniu 14,2V akumulator jest niedoladowany. Wysłane z mojego SM-G998B przy użyciu Tapatalka Cytuj Odnośnik do komentarza Udostępnij na innych stronach Więcej opcji udostępniania...
0 siarq Opublikowano 15 Lutego 2024 Zgłoś Udostępnij Opublikowano 15 Lutego 2024 ustaw na 14.4 i bedzie ok Cytuj Odnośnik do komentarza Udostępnij na innych stronach Więcej opcji udostępniania...
0 dante Opublikowano 15 Lutego 2024 Zgłoś Udostępnij Opublikowano 15 Lutego 2024 ustaw na 14.4 i bedzie okDzięki Cytuj Odnośnik do komentarza Udostępnij na innych stronach Więcej opcji udostępniania...
Pytanie
maweric
Może ktoś z Was ma doświadczenie z tymi akumulatorami i podzieli się widzą i doświadczeniem.
Z góry serdeczne dzięki :
Odnośnik do komentarza
Udostępnij na innych stronach
Top użytkownicy dla tego pytania
628
174
84
83
Popularne dni
30 Gru
29
28 Gru
25
10 Sty
25
9 Kwi
24
Top użytkownicy dla tego pytania
siarq 628 odpowiedzi
maweric 174 odpowiedzi
Koza11 84 odpowiedzi
godski 83 odpowiedzi
Popularne dni
30 Gru 2017
29 odpowiedzi
28 Gru 2020
25 odpowiedzi
10 Sty 2021
25 odpowiedzi
9 Kwi 2018
24 odpowiedzi
Popularne posty
siarq
a oto moje pierwsze dzielo , 40Ah 12V , 5,7kg . Dzieki VonJa za wsparcie przy budowie
maweric
Lifepo4 12V 100Ah - Test na wodzie. Na wyświetlaczu 86% - troling ponton maweric 330 alu silnik MK 55 z max. średnia prędkość +/- 3km/h czas pływania 21 godz.do chwili wyłączenia przez BMS. Na aku pły
siarq
Pierwsze koty za ploty z tworzeniem reaktora kratki zlozone, ogniwa wlozone, niebawem ciecie i wiercenie plaskownika miedzianego 30x2mm , posortowanie ogniw wzgledem rezystancji wewnetrznej i skrecan
Opublikowane grafiki
2556 odpowiedzi na to pytanie
Rekomendowane odpowiedzi
Dołącz do dyskusji
Możesz dodać zawartość już teraz a zarejestrować się później. Jeśli posiadasz już konto, zaloguj się aby dodać zawartość za jego pomocą.